21 จำนวนผู้เข้าชม |
สายตาสั้น (Myopia / Near-Sightedness) เป็นความผิดปกติของการหักเหของแสง ที่พบมากในเด็กและวัยรุ่น ปัญหาสายตาสั้นได้รับความสนใจมากขึ้น เนื่องจากผู้ปกครองหลายคนยังขาดความเข้าใจ และมีความเชื่อผิด ๆ เกี่ยวกับสายตาสั้น นอกจากนี้ ภายหลังการระบาดของ COVID-19 ทำให้เด็กใช้เวลาอยู่กับหน้าจอดิจิทัลเป็นเวลานาน ส่งผลให้ อุบัติการณ์และความรุนแรงของสายตาสั้นเพิ่มมากขึ้น (1)
มีการคาดการณ์ไว้ว่า ภายในปี 2050 ประชากรกว่า 49.8% ของประชากรโลก จะมีภาวะสายตาสั้น ซึ่งปัจจัยสำคัญที่ทำให้เกิดสายตาสั้นในเด็ก คือ การยาวขึ้นของกระบอกตา
หลักการทำงานของเลนส์สายตาสั้นทั่วไป คือ แสงผ่านบริเวณกึ่งกลางเลนส์ หักเหไปตกบริเวณจอรับภาพ ทำให้การมองเห็นคมชัดขึ้น แต่แสงที่ผ่านบริเวณขอบเลนส์จะหักเหเลยจอรับภาพไป (Hyperopic Peripheral Defocus) ดวงตาของเด็กจึงตอบสนองด้วยการขยายความยาวของกระบอกตา เพื่อไปรับแสงที่ตกไม่ตรงบริเวณจอรับภาพ ทำให้เด็กสายตาสั้นเพิ่มขึ้น กล่าวได้ว่า เลนส์ช่วยให้เด็กมองเห็นชัดขึ้น แต่ก็จะทำให้สายตาสั้นเพิ่มขึ้นได้

ปัจจุบัน มีเลนส์ที่ช่วยชะลอการเพิ่มขึ้นสายตาสั้น โดยหลักการ คือ ลดปริมาณแสงที่ตกบริเวณขอบเลนส์ ซึ่งเป็นสาเหตุของการยาวขึ้นของกระบอกตา เมื่อกระบอกตาของเด็กยาวขึ้นน้อยลง ก็จะช่วยชะลอสายตาสั้นไม่ให้เพิ่มขึ้นอย่างรวดเร็วได้
บทความนี้ GOOD VISION จะพูดถึงเลนส์ชะลอสายตาสั้นจาก 2 แบรนด์
Stellest เลนส์ชะลอการเพิ่มขึ้นของสายตาสั้น แบรนด์ Essilor
เลนส์ Stellest ผ่านการวิจัยทางคลินิก และได้รับการตีพิมพ์ในวารสารทางวิชาการมาแล้วว่า สามารถชะลอการเพิ่มขึ้นของสายตาสั้นเฉลี่ย 67% ในช่วง 2 ปีแรก เมื่อเทียบกับเลนส์สายตาชั้นเดียว หากสวมใส่วันละ 12 ชั่วโมง โดยศึกษาในเด็ก อายุ 8-13ปี (1)

เลนส์ Stellest แบ่งเป็น 2 โซนหลัก ได้แก่
สรุปผลงานวิจัยที่เกี่ยวข้องของเลนส์ Essilor Stellest
ผลของการใส่เลนส์ Stellest ระยะสั้น (2 ปี) (2)
เลนส์ Stellest สามารถชะลอการเปลี่ยนแปลงของค่าสายตาสั้น ได้ 0.80 D (คิดเป็น 55%) และ ชะลอการยาวขึ้นของกระบอกตาได้ 0.35 mm (คิดเป็น 51%) เมื่อเทียบกับเลนส์สายตาชั้นเดียว

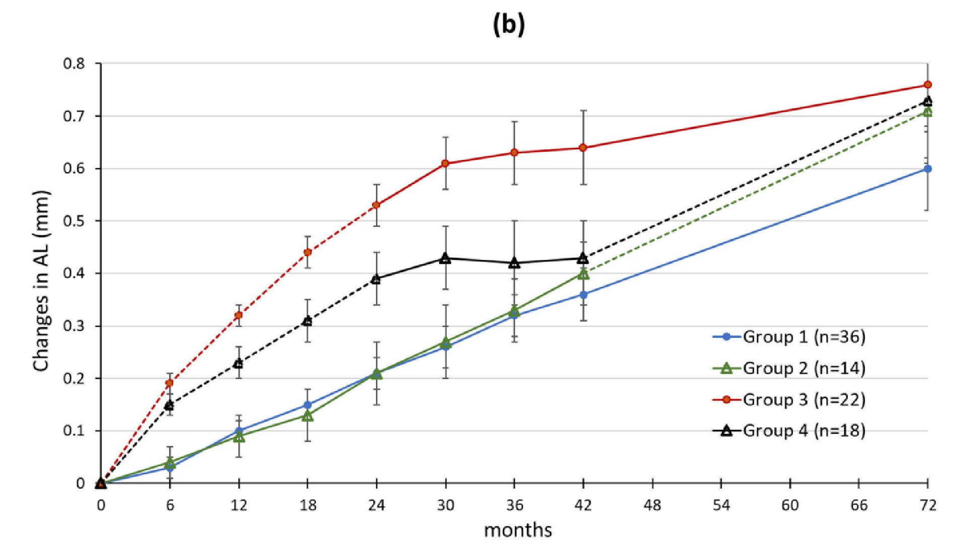
ผลของการใส่เลนส์ Stellest ระยะยาว (5 ปี) (3)
เด็กที่ใส่เลนส์ Stellest เป็นระยะเวลาต่อเนื่อง 5 ปี มีการเพิ่มขึ้นของสายตาสั้น -1.27 D และกระบอกตายาวขึ้น 0.67 mm

กราฟแสดงการเพิ่มขึ้นของค่าสายตาสั้น (a) และการเพิ่มขึ้นของความยาวกระบอกตา (b) เส้นสีเขียว หมายถึงกลุ่มที่ใส่เลนส์ Stellest เส้นสีแดง หมายถึงกลุ่มที่ใส่เลนส์สายตาชั้นเดียว

สรุปผลการวิจัย การใส่เลนส์ H.A.L.T. ช่วยชะลอการเพิ่มขึ้นของสายตาสั้น และการยาวขึ้นของกระบอกตาได้ดี เมื่อเทียบกับกลุ่มที่ใส่เลนส์สายตาชั้นเดียว และการใส่ติดต่อกันเป็นเวลานาน ยังช่วยลดโอกาสที่จะเกิดสายตาสั้นรุนแรง
MiYOSMART เลนส์ชะลอการเพิ่มขึ้นของสายตาสั้น แบรนด์ HOYA
เลนส์ MiYOSMART ผ่านการวิจัยทางคลินิก ผ่านการวิจัยทางคลินิก และได้รับการตีพิมพ์ในวารสารทางวิชาการ ว่าสามารถชะลอการเพิ่มขึ้นของสายตาสั้นได้ 60% ในช่วง 2 ปีแรกโดยศึกษาในเด็กอายุ 8-13 ปี(3)

เลนส์ MiYOSMART แบ่งเป็น 2 โซนหลัก ได้แก่

สรุปผลงานวิจัยที่เกี่ยวข้องของเลนส์ HOYA MiYOSMART
ผลของการใส่เลนส์ MiYOSMART ระยะสั้น (2 ปี)(4)
เลนส์ MiYOSMART สามารถลดการเพิ่มขึ้นของค่าสายตาสั้นได้ 52% และ ลดการยาวขึ้นของกระบอกตา 62% เมื่อเทียบกับ กลุ่มที่ใส่เลนส์สายตาชั้นเดียว

ผลของการใส่เลนส์ MiYOSMART ระยะยาว (6 ปี)(5)
การใส่เลนส์ MiYOSMART เป็นเวลานาน ไม่มีผลกระทบต่อ Visual function ได้แก่ BCVA (distance), Phoria (distance), Phoria (near), Stereoacuity, Monocular AA และ Binocular AA
เด็กที่ใส่เลนส์ MiYOSMART ตลอด 6 ปี ค่าสายตาสั้นเพิ่มขึ้น -0.92 D และ กระบอกตายาวขึ้น 0.6 mm


กราฟแสดงการเพิ่มขึ้นของค่าสายตาสั้น (a) และการยาวขึ้นของกระบอกตา (b) โดยเส้นทึบ หมายถึงช่วงเวลาที่เด็กใส่เลนส์ MiYOSMART และเส้นประ หมายถึงช่วงเวลาที่เด็กใส่เลนส์ชั้นเดียว
สรุปผลการวิจัย เลนส์เทคโนโลยี D.I.M.S. สามารถชะลอการเพิ่มขึ้น ของค่าสายตาสั้น และการยืดยาวของกระบอกตา ได้ถึง 6 ปี ในขณะเดียวกัน เด็กที่หยุดใช้เลนส์นี้ ไม่พบอาการสายตาสั้นกลับอย่างรวดเร็ว (rebound effect) และการใส่เลนส์ D.I.M.S. ระยะยาว ไม่มีผลข้างเคียงใด ๆ ต่อระบบการมองเห็น เลนส์ D.I.M.S. จึงปลอดภัยและเหมาะสมที่จะใช้เป็นการรักษาในทางคลินิกเพื่อควบคุมสายตาสั้นในเด็ก
ร้านแว่นตา GOOD VISION ศูนย์โปรเกรสซีฟเลนส์ ร้านแว่นตามืออาชีพ บริการตรวจวัดสายตาโดยนักทัศนมาตร ที่อยู่ตลอดเวลาการทำการทั้งสองสาขา (ร้านแว่นตาเชียงใหม่ , ร้านแว่นตาลำพูน) เพื่อให้ลูกค้าได้แว่นตาตอบโจทย์ความต้องการ และช่วยแก้ปัญหาสายตาได้จริง
เรียบเรียงโดย โย จุฬารัตน์ O.D. (Doctor of Optometry)
นักทัศนมาตร ประจำร้านแว่นตา กู๊ด วิชั่น
References
(1)Subudhi P, Agarwal P. Myopia. [Updated 2023 Mar 31]. In: StatPearls [Internet]. Treasure Island (FL): StatPearls Publishing; 2025 Jan-. Available from: https://www.ncbi.nlm.nih.gov/books/NBK580529/
(2)Bao J, Huang Y, Li X, et al. Spectacle Lenses With Aspherical Lenslets for Myopia Control vs Single-Vision Spectacle Lenses: A Randomized Clinical Trial. JAMA Ophthalmol. 2022;140(5):472–478. doi:10.1001/jamaophthalmol.2022.0401
(3)Li, X., Huang, Y., Liu, C. et al. Myopia control efficacy of spectacle lenses with highly aspherical lenslets: results of a 5-year follow-up study. Eye and Vis 12, 10 (2025). https://doi.org/10.1186/s40662-025-00427-3
(4)Lam CSY, Tang WC, Tse DY, Lee RPK, Chun RKM, Hasegawa K, Qi H, Hatanaka T, To CH. Defocus Incorporated Multiple Segments (DIMS) spectacle lenses slow myopia progression: a 2-year randomised clinical trial. Br J Ophthalmol. 2020 Mar;104(3):363-368. doi: 10.1136/bjophthalmol-2018-313739. Epub 2019 May 29. PMID: 31142465; PMCID: PMC7041503.
(5)Lam CSY, Tang WC, Zhang HY, Lee PH, Tse DYY, Qi H, Vlasak N, To CH. Long-term myopia control effect and safety in children wearing DIMS spectacle lenses for 6 years. Sci Rep. 2023 Apr 4;13(1):5475. doi: 10.1038/s41598-023-32700-7. PMID: 37015996; PMCID: PMC10073092.